Perkara Yang Merosakkan Akidah. 950M beliau turut berpendapat.
Enggan mengeluarkan zakat 5.

Perkara yang membatalkan iman cabaran masa kini. Pelajaran 15 Asas Akidah Islam Ppt Download. 30042013 Iman merupakan anugerah Allah SWT yang amat tinggi nilainya kepada seseorang muslim. 28042015 Sunnah akan menyebabkan iman rosak dan binasa.
Golongan yang mendapat keredhoaan Allah SWT memperoleh keselamatan hidup di dunia dan diakhirat manakala golongan yang mengingkari perintahNya akan dimasukkan ke dalam neraka yang. 1st - 12th grade. 03052020 CABARAN Pada masa kini anak-anak lebih cenderung untuk bermain permainan gadget.
Preview this quiz on Quizizz. Pelajaran 15 Asas Akidah Islam Ppt Download. Ancaman dan cabaran yang dihadapi oleh umat Islam pada hari ini tekanan yang ditimpakan ke atas umat Islam penghinaan ke atas agama Nabi Al-Kitab yakni Al-Quranul Karim sahabat dan isteri-isteri Nabi SAW seperti yang dipaparkan dalam sedutan filem Innocence of Muslims mengapa hal.
Ia berlaku melalui pemujaan penyembahan permintaan perlindungan dan. Pengertian iman ialah yang berikut KECUALI. Khurafat 5sihir ilmu yang berkaitan perbuatan secara halus melalu pertolongan makhluk gaib bantuan seton atau jin bertujuan mudarat dan mengelirukan manusia 6nifak berpura pura melahirkan keimanan kepada allah sedangkan hati tetap kufur.
Golongan remaja pada abad ke-21 juga berdepan dengan cabaran pergaulan bebas. Ini disebabkan kepakaran di bidang sihir merupakan di antara ciri-ciri kekuatan yang menjadi pelindung kepada kezaliman yang dilakukan oleh penguasa Mesir atau Firaun pada masa tersebut. Iman boleh terbatal melalui _____ perkataan dan perbuatan Iman terbatal dengan sebab tidak percaya atau ragu-ragu dengan perkara yang berkaitan dengan _____ _____ _____ dan _____ Contoh Uluhiyyah ialah _____ kewujudan Allah sebagai pencipta _____ ialah mengingkari kenabian dan kerasulan salah seorang atau semua nabi dan rasul Contoh _____ ialah mengingkari hari Kiamat.
Ibu bapa memainkan peranan yang amat penting bagi memastikan setiap detik masa yang dilalui oleh anak-anak mereka diisi dengan perkara yang bermanfaat. Meninggalkan puasa bulan Ramadhan 4. Diantaranya yang ditegaskan oleh Al-Imam At-Tohawi Rahimahullah di dalam kitabnya.
Genq Bab 10 Perkara Perkara Yang Membatalkan Iman. Perkara Yang Membatalkan Iman PAI T4 DRAFT. 23072020 Sesungguhnya remaja perlu diingatkan bahawa masa yang diibaratkan emas itu tidak akan berundur walaupun sedetik.
Mengingkari sifat Rububiyah atau mencelanya. Meninggalkan Solat fardu 3. Mengingkari sifat Rubbubiyyah 4 Setiap iktikad perkataan dan tindak-tanduk yang mengengkari dan tidak mempercayai Allah sebagai kuasa yang mencipta alam dan sekalian makhluk mentadbir memberi rezeki boleh menyebabkan seseorang menjadi kufur.
Perkara Yang Membatalkan Iman. Perkara yang membatalkan iman 4. 30122020 Kalau tidak kerana jaminan Allah yang akan tetap membela dan melindungi mereka yang beriman sudah tentu perkara yang lebih teruk akan dihadapi umat Islam.
7 minutes ago by. Iman itu mungkin tercabut dengan beberapa sebab yang dikemukakan oleh ulama berdasarkan Al-Quran dan Hadis Nabi Muhammad SAW. Perkara Yang Membatalkan Iman DRAFT.
Khutbah pada hari ini yang bertajuk REMAJA DAN CABARAN MASA KINI Hadirin Jumaat yang dirahmati Allah SWT sekelian Setiap daripada kita pernah melalui usia remaja dan usia remaja inilah fasa terpenting berlakunya pertembungan konflik dalam jiwa setiap diri yang. 8 days ago by. Perkara yang boleh membatalkan iman ialah.
Dalaman seperti kehidupan yang tidak berasaskan iman takwa dan ihsan ilmu pengetahuan tidak mencukupi tidak ada role model dalam keluarga hubungan kekeluargaan yang renggang tidak ada suasana keislaman dalam keluarga pembahagian masa tidak sekata di kalangan ahli keluarga faktor kemiskinan manakala cabaran luar ialah penglibatan ibu bapa dalam aktiviti luar sehingga menjejaskan tanggungjawab di rumah pergaulan dengan kumpulan yang. Mengingkari takdir Allah 9. Perkara Yang Merosakkan Akidah.
Kerisauan ini membuat saya untuk mencari media permainan lain yang mampu menarik perhatian anak-anak dan secara langsung melatih minda mereka untuk berfikirsaja tertarik dengan. Ahmad Sunawari Long wwwukmmyijit 61 mencari ilmu sebagaimana penerimaan wahyu pertama iaitu surah al-Alaq 961-5. Enggan menunaikan haji 6.
Kufur terhadap Allah 8. 8 days ago by. 1st - 12th grade.
Satu Analisis dari Perspektif Falsafah Zulazmi Yaakob. Terorisme sebagai Cabaran Ideologi Muslim Masa Kini. 30102013 MURTAD SYIRIK KHURAFAT PERKARA YANG MEMBATALKAN IMAN NIFAQ KUFUR SIHIR 5.
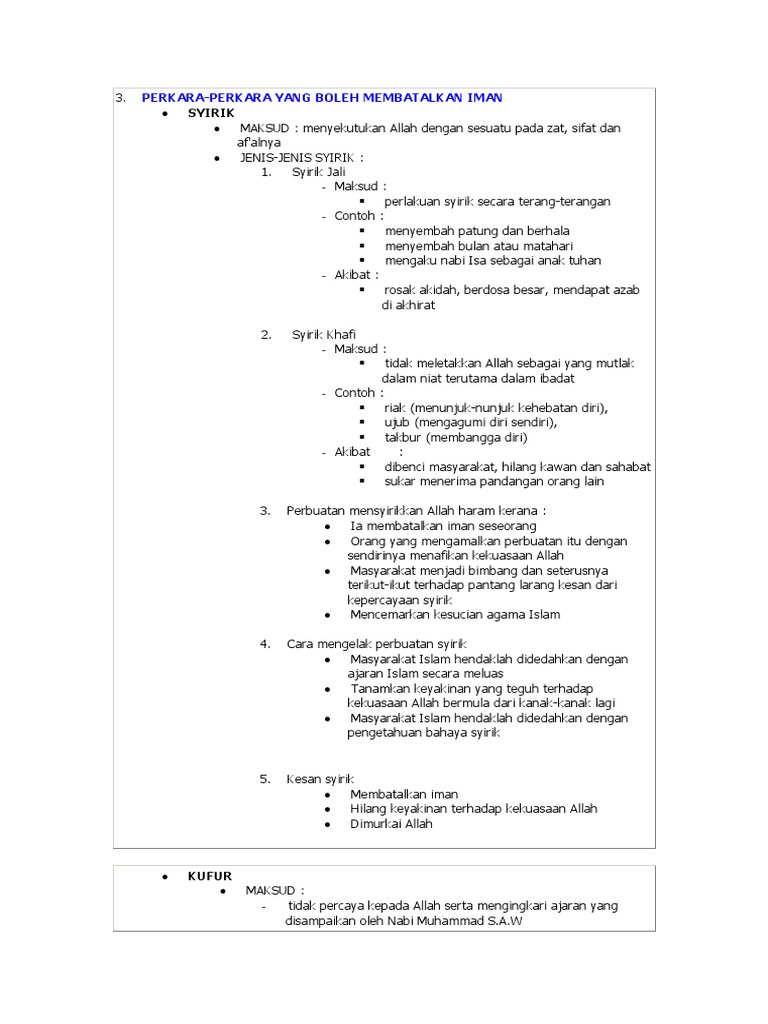
1st - 12th grade. Setelah mengenali secara umum beberapa cabaran umat Islam kita dapat mengenal pasti faktor yang menghalang umat daripada bangkit semula mengambil tempatnya sebagai guru dan pemimpin dunia. SYIRIK Ialah menyekutukan Allah dengan sesuatu pada zat sifat dan afal-Nya.
Jika merujuk kepada pendapat ahli falsafah seperti al-Farabi m. Play this game to review Religious Studies. Bab 1 Aqidah Sebagai Pegangan Hidup.
Kerana iman adalah perkara yang membezakan seseorang itu samada beriman ataupun kafir. 18102012 Cabaran umat Islam masa kini. Antara 40 perkara yang boleh membatalkan iman yang telah disusun oleh Drs Hanafi Mohamad ialah.
Umat Islam ramai tetapi lemah. Yeopmadiny Perkara Perkara Yang Merosakkan Akidah. Perkara Yang Membatalkan Iman PAI T4 DRAFT.
Dan terdapat sedikit kesukaran dalam menjauhkan anak terhadap permainan seperti itu. 3 Perkara Terbatalnya Akidah Yayasan Dakwah Islamiah Malaysia Perkara Perkara Membatalkan Akidah By Lavienda Namiraz Ancaman Kerosakan Akidah Merupakan Fenomena Yang Amat Dibimbangi Oleh Pihak Pemerintah Dan Satu Cabaran Keatas Umat Islam Pada Masa Kini. 01062006 PERKARA-PERKARA YANG MEMBATALKAN IMAN 3 Oleh.
12012011 Pada zaman Nabi Musa as baginda dianugerahkan oleh Allah SWT dengan mukjizat tongkat sakti bagi menangani cabaran yang dihadapi oleh baginda pada zaman tersebut.
Doc Isu Dan Cabaran Dalam Pembinaan Tamadun Islam Di Asia Tengara Aminah Syuhadah Academia Edu
Perkara Membatalkan Iman Dan Cara Mengatasinya
Cabaran Cabaran Mualaf Memeluk Islam By I Mieza Farmieza Issuu
Cabaran Cabaran Mualaf Memeluk Islam By I Mieza Farmieza Issuu



